牛津仪器集团成员
扩展

台式核磁在制药领域的应用

总结

X-Pulse台式核磁共振波谱仪作为一款高性价比现场核磁快速分析工具,具有高分辨率、高稳定性及多功能性选配附件等特点,可用于制药领域有机物结构确证、中间体或新物质检测、含量测定以及反应监控等多个方面。仪器的配备将大大提高和简化药物研发及生产过程中的定性定量分析,从而助力更高水平药物的高效研发及生产。

介绍

药物属于特殊商品,仅在特定情况下使用,实现预防、诊断和治疗疾病的目的。安全有效的药物在世界各国医疗体系中都起着至关重要的作用。随着自然环境、社会环境及人口老龄化等问题的加剧,我国重大疾病发病率呈现上升趋势,药物需求和市场规模日益扩大,高质量药物的研发及生产将直接关系到我国的国民经济和社会发展。同时,随着国家相关法规及政策的相继出台,对药物研发和生产提出了更高水平的要求。

我国医药市场主要由化学药、生物药和中成药几部分组成,其中化学药的市场规模占比最高。目前我国化学药主要以仿制药为主,即针对旧结构化合物进行工艺变革,在原研药专利到期后上市销售,以相对较小的开发成本解决绝大多数的临床用药需求。由于仿制药存在产品同质化及竞争激烈等问题,目前越来越多的制药企业逐渐开始加大对新结构化合物的研发投入,开始向创新药进军和布局,以期占领未来市场高地。另一方面,生物药市场在近些年也得到了蓬勃的发展,基于蛋白质的抗体药物销售额屡创新高,双抗和 ADC 药物实现了技术积累,预期很快将在抗肿瘤领域迎来爆发期。新冠疫情让DNA和 mRNA 疫苗进入了普通大众的视野,核酸药物有望取得新的突破。更加前沿的包括 CAR-T 和 CAR-NK 细胞疗法、溶瘤病毒以及基因编辑等技术,很可能在未来 10 ~ 20 年里给医药行业带来颠覆性革命。 

高效的药物研发和生产,离不开各种分析检测手段的支持。其中,核磁共振技术( NMR )作为一种公认有效的分子结构鉴定手段被广泛使用。NMR可以解析小分子化合物的化学骨架结构,帮助确定分子的构型构象;测定生物大分子的三维空间结构,研究受体-配体的相互作用位点,揭示分子在不同时间尺度下的动力学行为等。

传统高场核磁谱仪采用低温超导磁体,具有很高的灵敏度和分辨率。不过,仪器高昂的售价和运维成本,对制冷剂和场地的严格要求,以及专业人员的高准入门槛,很大程度上限制了其推广和普及。相比而言,低场台式核磁采用稀土永磁体,灵敏度和分辨率相对较低,通常要求待检测分子具有较高浓度,并且结构不能太过复杂。但是,低场核磁性价比高,无需液氮液氦等制冷剂,操作维护简单方便,非常适合现场快筛快检。目前,低场核磁作为高场谱仪的有力补充,在医药领域受到了越来越多学术界和工业界用户的关注。

牛津仪器一直致力于低场台式核磁技术的研发和创新。台式核磁产品X-Pulse,是一款宽频率傅里叶变换的液相核磁共振波谱仪,这是一款真正意义上的宽带台式 NMR 波谱仪,让您可以在现场完成众多原子核的各种核磁共振实验。此外, X-Pulse 具有高分辨率和高稳定性,可搭载流动化学、数据库和变温模块等,拥有灵活智能的软件系统,让基于分子化学结构的定性定量分析更加简单高效。

在制药领域,台式核磁共振波谱仪 X-Pulse 可用于结构确证、中间体或新物质检测、含量测定以及反应监控等多个方面,从而助力药物的高效研发及生产。

结构确证

化学和制药实验室常常需对合成工艺不同阶段的物质进行结构确证。一般情况下只需采集简单的一维氢谱,根据化学位移、谱峰裂分和积分数值等信息即可快速确证结构。如果氢谱中一些信号因谱峰重叠不能准确归属,还可以借助其它一维、二维实验进行进一步确认。

化合物小分子N-Boc-反式-4-羟基-L-脯氨酸甲酯(分子式C11H19N05),属于氨基酸类衍生物,是一种常见的医药中间体,分子结构如图 1 。通过 X-Pulse 台式核磁我们采集了该药物分子的一维氢谱、全去耦碳谱、 DEPT-135 、二维1H-1H DQF-COSY以及多线编辑的 1H-13 C HSQC谱图(图 2 )。通过对谱图的解析,可以明确判断出分子中不同官能团或片段之间的相互连接以及位置关系,从而完全确认该样品的分子结构。 

图 1 N-Boc-4--羟基-L-脯氨酸甲酯分子结构

图 2 N-Boc-4--羟基-L-脯氨酸甲酯 1D 和 2D NMR谱图

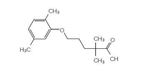
吉非罗齐作为一种血脂调节药,能显著降低血中甘油三酯和胆固醇含量,临床上可用于所有类型脂质代谢障碍病人,还可用于预防心肌梗死。药物活性成分吉非罗齐属于非卤代苯氧戊酸衍生物,化学名 2.2-二甲基-5-(2.5-二甲基苯氧基)戊酸(图 3 ),分子式C15H22O。图 4 展示了该分子在台式核磁 X-Pulse 上获得的一维氢谱、全去耦碳谱、二维1H-13C HSQC和HMBC谱图。通过谱图可以清楚识别特征峰和分子骨架,验证了活性物质的结构。

图 3 吉非罗齐分子结构

图 4 吉非罗齐1D 和 2D NMR谱图

中间体或新物质检测

药物小分子合成过程往往会涉及到多步有机化学反应,中间体或新物质结构的确认将大大提高合成结果的准确性,但整套的结构确证需花费大量的时间精力,这将严重影响合成实验效率。因此,当目标中间体结构或者特征峰已知时,只需简单检测识别某些特征峰,就能够快速判断是否有预期中间体或者新物质生成。

图5显示了某化合物反应前(红色谱图)、后(绿色谱图)的一维1H谱堆叠图。简单一维1H谱实验仅需1 min ,所得谱图具有很高的信噪比。通过对比可以发现,两张 1H 谱整体峰型非常相近,尤其在高场区几乎完全相同。但是,低场区特征峰的化学位移和耦合裂分可见明显差异,提示该化合物参与反应变成了另外一种物质。合成人员可根据原化合物的分子结构、有机反应机理及实验工艺流程等信息,判定生成物与预期中间体的匹配程度,从而快速反馈合成结果。 

除了1H原子核以外,19F也是核磁共振中一种高灵敏度的原子核。由于19F 谱中不会出现 1H 信号,结果不受含氢溶剂的影响,检测时可不使用氘代试剂,相对而言操作更加简便且成本更低。因此,对于含氟药物而言,19F 谱是一种非常简单高效的检测手段。图6给出了某化合物反应前(红色谱图)、后(绿色谱图)的一维 19 F 谱堆叠图。显然,反应过后的 19F 谱出现了新的氟信号特征峰,表明有别的含氟基团连接到了原化合物分子上。因此,X-Pulse 台式核磁可以帮助合成人员在实验室现场完成实验中间体或新物质的快筛快检工作。 

图 5 某化合物反应前后一维1H谱堆叠图

图 6 某化合物反应前后一维19F谱堆叠图

含量测定

核磁共振技术不但可以对药物分子进行定性结构测定,同时也能够用于药物定量分析,包括绝对定量和相对定量。通过核磁共振进行药物活性成分绝对含量测定时,既可以根据需要选择化合物标准品,采用标准曲线法来实现定量,也可以选择适当的内标物质,根据谱峰信号的积分强度关系实现定量。后一种方法对于新药或由于某些原因难以获得可用标准品的药物,具有极大的帮助和独到的优势。

例如研究人员以氯仿作为内标物质,在高场和低场核磁共振谱仪上采集一维1H谱,对市面上五种药品原料药成分含量进行了测定。表 1给出了药物活性成分定量检测的结果。值得注意的是,序号I药品中的原料药成分氧氟沙星,不管是用 600 MHz 还是 60 MHz 谱仪,所测得的含量均只有厂商标称值的一半左右,由此可以确定该产品是一款劣药,存在虚假标识。 

表 1 五种药品原料药成分的含量测定

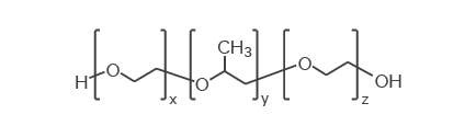
泊洛沙姆作为工业上一类重要的非离子型嵌段共聚物,由中心的聚氧丙烯嵌段和两侧的聚氧乙烯嵌段构成(图7 )。在制药工业中,泊洛沙姆可用于悬浮剂、乳化剂或包衣材料,同时还可作为药物释放系统的组成成分。泊洛沙姆的功能与其结构密切相关,不同的结构类型(聚氧乙烯含量 POE )将直接影响泊洛沙姆的功效,因此需要对其链长或者聚氧乙烯嵌段的百分含量进行检测和控制。研究人员在 X-Pulse 上采集了四种商品化泊洛沙姆一维1H 谱,根据分子结构特征以及谱图中信号的积分比例关系,获得了四种样品聚氧乙烯嵌段的百分含量,具体结果见表 2 。通过对结果的比对分析,可以看出核磁测定结果与标示值高度吻合,证明了台式核磁在定量检测方面的不俗能力。 

图 7 泊洛沙姆分子结构

表 2 四种商品化泊洛沙姆中聚氧乙烯的百分含量/center>

反应监控

在药物研发和生产环节,有时不仅要关注反应物和生成物,而且还需深入了解反应过程和反应动力学,以便理解反应的时间依赖性,从而进一步优化反应和工艺。X-Pulse 台式核磁可以搭载流动化学模块,通过定制的流通池套装,可将仪器与外界反应釜直接相连,从而实现对化学反应的实时在线监控。

3-硝基苯甲醛作为一种医药中间体,在制药工业中可用于合成尼群地平、尼莫地平和尼卡地平等。3 - 硝基苯甲醛在硼氢化钠等还原剂的催化下,可以被还原成3-硝基苯甲醇,反应方程式见图 8 。通过 X-Pulse 台式核磁在线监测模块可以完整记录整个反应的过程,反应液以 1 mL/min 流速连续泵入流动池,仪器每隔 20 s记录一张1H谱,利用一维 1H 谱对该化学反应在线监控的结果如图 9 所示。可以看到,反应物 ~10ppm 处的醛基,在第10张氢谱(即反应开始后大约 200 s )完全消失,表明反应过程非常迅速。此外,在第 9 张氢谱中,苯环区域分辨率突然变差,很可能出现了一种处于中等交换的过渡态产物。 

图 8 3-校级苯甲醛被硼氧化钠还原为3-硝基苯甲醇

图 9 利用一维1H谱在线监控化学反应

通过对化学反应在线监控,还可以得到反应物或定成物浓度随时间的变化曲线。利用该曲线,可以确的变温系统,仪器能够获得不同温度条件下的化学反应速率常数,进而可以进一步根据 Eyring-Polanyi 方程,拟合得到化学反应焓变、熵变和吉布斯自由能变等反应动力学参数。这对优化反应条件、提升反应效率、控制反应进程以及设计反应器等都有着重要意义。 


应用报告: 利用牛津仪器台式核磁X-Pulse表征锂电池电解液

下载应用报告
了解更多信息

相关产品

沪ICP备17031777号-1 公安机关备案号31010402003473